✨ 100 Đề Kiểm Tra Toán 7 _KV















Cuốn sách "100 đề kiểm tra toán 7" là phiên bản mới nhất được tác giả Nguyễn Đức Tấn cùng 5 tác giả khác biên soạn với những nội dung mới nhất được cập nhật bám sát vào chương trình học của học sinh lớp 7. Cuốn sách đưa ra những dạng đề thi kiểm tra 15 phút, 45 phút, kiểm tra học kỳ 1, kiểm tra học kỳ 2 để giúp các thầy cô giáo, các bậc phụ huynh, các em học sinh có tài liệu ôn luyện, tự kiểm tra và đánh giá kiến thức cho các em học sinh. Bên cạnh đó nội dung cuốn sách còn được chia thành 3 phần:
- Phần một: Đề kiểm tra và hướng dẫn giải
- Phần hai: Đề kiểm tra ở một vài địa phương
- Phần ba: Đề kiểm tra học sinh giỏi Toán
- Các đề Toán ôn luyện




Kĩ Năng Giải Toán Căn Bản Và Mở Rộng Lớp 7 - Tập 1 (Dùng Chung Cho Các Bộ SGK Hiện Hành) Bộ sách Kĩ Năng Giải Toán Căn Bản Và Mở Rộng Lớp 7 được
Sách - ôn tập kiểm tra nâng cao và phát triển năng lực ngữ văn 7 thuộc bộ sách này được viết bám sát theo chương trình mới của Bộ Giáo dục và Đào tạo,
Cuốn sách gồm các chuyên đề sau : Chuyên đề 1. Biền đổi đồng nhất Chuyên đề 2. Biến đổi căn thức Chuyên đề 3. Xác định đa thức Chuyên đề 4. Hệ phương trình
MÔ TẢ SẢN PHẨM Hướng Dẫn Trả Lời Câu Hỏi Khoa Học Tự Nhiên 9 (dùng kèm SGK Kết nối tri thức với cuộc sống): Nhằm giúp quý Thầy, Cô, các bậc phụ huynh và
Sách - Giới thiệu bộ đề thi môn tiếng anh tốt nghiệp THPT (theo chương trình GDPT mới - áp dụng từ năm 2025) - HA Các em học sinh thân mến! Cuốn sách Giới
MÔ TẢ SẢN PHẨM Hướng Dẫn Trả Lời Câu Hỏi Khoa Học Tự Nhiên 9 (dùng kèm SGK Kết nối tri thức với cuộc sống): Nhằm giúp quý Thầy, Cô, các bậc phụ huynh và
Sách - ôn tập kiểm tra nâng cao và phát triển năng lực ngữ văn 7 thuộc bộ sách này được viết bám sát theo chương trình mới của Bộ Giáo dục và Đào tạo,
Chương trình Ngữ văn lớp 8 theo định hướng phát triển năng lực 2018 có nhiều thay đổi khi sử dụng ba bộ sách giáo khoa khác nhau. Sau thành công của 2 cuốn Bồi
Bài tập tiếng Anh lớp 7 (không đáp án) Sách bài tập tiếng anh lớp 7 được biên soạn dành cho học sinh lớp 7, do Nhà xuất bản Đại học Quốc gia Hà Nội
Chương trình Ngữ văn lớp 8 theo định hướng phát triển năng lực 2018 có nhiều thay đổi khi sử dụng ba bộ sách giáo khoa khác nhau. Sau thành công của 2 cuốn Bồi
Nhà cung cấp ndbooks NXB Dân Trí Tác giả Nhiều tác giả Năm XB 2025 khổ 20.5x28.5 cm Số trang: 96 trang Hệ thống bài tập theo
Công ty phát hành: Dn Tư Nhân Thương Mại Toàn Phúc Nhà xuất bản: NXB Đà Nẵng Tác giả: Nhiều Tác Giả Loại bìa: Bìa Mềm Số trang: 288 Năm xuất bản: 2021
Sách - Hướng dẫn viết, nói & nghe các dạng văn lớp 9 tập 1 + ha Trong chương trình giáo dục phổ thông tổng thể 2018, cùng với các môn học khác, môn Ngữ
Sách - Tuyển tập đề thi tốt nghiệp THPT môn hóa học (Cấu trúc đề thi 2025) - HA Kỳ thi tốt nghiệp trung học phổ thông từ năm 2025 sẽ thực hiện theo Chương
Sách - Hướng dẫn viết, nói & nghe các dạng văn lớp 9 tập 2 + ha Trong chương trình giáo dục phổ thông tổng thể 2018, cùng với các môn học khác, môn Ngữ
Kiến Thức Cơ Bản Và Nâng Cao Khoa Học Tự Nhiên Môn Hóa Học 9 (Theo Chương Trình Giáo Dục Phổ Thông Mới - Dùng Chung Cho Các Bộ SGK Hiện Hành) Môn Hóa cũng
Sách - Giúp em giỏi toán 9/1 (bám sát sgk kết nối tri thức với cuộc sống) - HA Cuốn sách Giúp em giỏi Toán 9 – Tập một được biên soạn bám sát
Các em học sinh thân mến! Thị trường sách tham khảo dành cho học sinh THCS đã khá nhiều. Song với kinh nghiệm tích luỹ trong nhiều năm và để giúp các em học
Nội dung của mỗi bài học đó là các định nghĩa, các công thức toán học, các định lí mà mỗi học sinh cần nhớ, đồng thời phải biết vận dụng các kiến thức để
Sách - Hướng dẫn học và giải các dạng bài tập Toán 9/1 (bám sát SGK Kết nối tri thức với cuộc sống) -HA Với mong muốn giúp học sinh phát triển phẩm chất và
Sách - Bài giảng & lời giải chi tiết tiếng anh 9 (bám sát sgk i-learn smart world) Cuốn sách Bài giảng và lời giải chi tiết Tiếng Anh 9 được biên soạn nhằm mục
được biên soạn bởi các tác giả là chuyên gia, nhà khoa học, nhà giáo giàu kinh nghiệm về giáo dục phổ thông. Bộ sách được biên soạn vừa giúp học sinh củng cố các
được biên soạn bởi các tác giả là chuyên gia, nhà khoa học, nhà giáo giàu kinh nghiệm về giáo dục phổ thông. Bộ sách được biên soạn vừa giúp học sinh củng cố các
-------------------------giới thiệu sách-------------------- -35 đề thi then chốt vào lớp 6 -Đề thi phong phú , đa dạng bám sát chương trình của Bộ giáo dục & Đào tạo -Có đáp án (tặng
Sách - Hướng dẫn và minh họa viết đoạn văn nghị luận xã hội 200 chữ (dùng chung cho các bộ sgk hiện hành) - HA Các em học sinh 12 thân mến! Trong cấu
Mô tả sản phẩm Giới thiệu Sách - [ Lớp 4 lên lớp 5 ] - Bộ đề ôn tập hè Vui Học Toán Hè lớp 4 lên lớp 5 Bộ đê ôn tập trong
Sách - Combo Hướng dẫn học và giải các dạng bài tập Toán 6 (Tập 1+Tập 2) Gồm 2 cuốn : Hướng dẫn học và giải các dạng bài tập Toán 6 - Tập 1
Từ năm học 2021-2022, chương trình và sách giáo khoa Ngữ văn Trung học Cơ sở mới được triển khai dạy và học trên phạm vi toàn quốc. Để góp phần giúp giáo viên, phụ
Bạn đang tìm kiếm một người bạn đồng hành tin cậy để vượt qua các kỳ thi học sinh giỏi Toán lớp 9? Bạn mong muốn tiếp cận những dạng toán chuyên sâu, tư duy
Sách ôn thi thpt quốc gia 2025, Sách ôn thi tốt nghiệp môn Vật Lí 1. Mô tả Sách ôn thi thpt quốc gia 2025, Sách ôn thi tốt nghiệp môn Vật Lí - Đề
Sách có hai tập, bám sát các nội dung cơ bản theo định hướng phát triển năng lực đọc, viết, nói và nghe của sách giáo khoa Ngữ văn 9 bộ “Kết Nối Tri Thức".
Bồi Dưỡng Học Sinh Giỏi Toán 9 (Luyện Thi Vào Lớp 10) Sách nhằm góp thêm vào tủ sách của bạn đọc một tài liệu bồi dưỡng học sinh giỏi lớp 9 và luyện thi
Các em học sinh lớp 7 yêu quýt Sau một năm lớp 6 học tập môn Ngữ văn, các em đã được tiếp xúc với các văn bản miêu tả, tự sự, biểu cảm, nghị
Sách - Tự tin luyện thi vào lớp 10 môn hóa học dành cho học sinh lớp 9 (dùng chung các bộ sgk hiện hành) Quý Thầy, Cô cùng các em học sinh thân
Sách - Bài tập phát triển năng lực Ngữ văn 8 tập 1 (Chân trời) THÔNG TIN CHI TIẾT Sách - Bài tập phát triển năng lực Ngữ văn 8 tập 1 (Chân trời)
•Phần 1. Định hướng và phát triển tư duy giải bài tập toán khó. Trong từng bài là các bài toán tương tự các bài tập trong sách giáo khoa, bài tập quen thuộc,
Thông tin chi tiết: Công ty phát hành: Sách Nhân Dân Tác Giả : Nguyễn Hồng Quân Số trang : 185 Năm xuất bản : 2022 Khổ sách : 19x27cm Hình thức : bìa
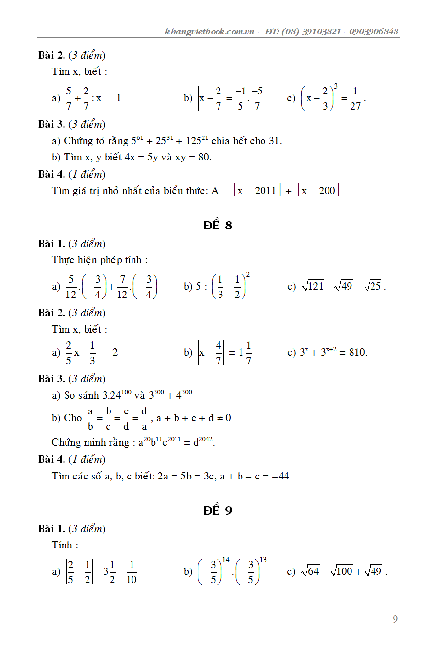
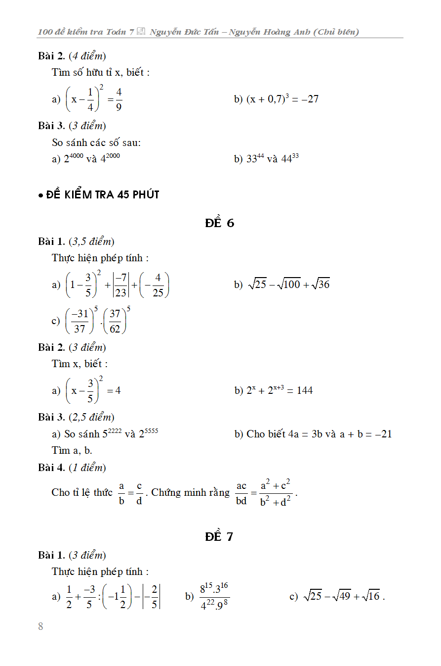
Làm bài kiểm tra là một phần quan trọng trong quá trình học tập của học sinh. Bài kiểm tra không những giúp giáo viên đánh giá chất lượng học tập của học sinh mà
•Phần 1. Định hướng và phát triển tư duy giải bài tập toán khó. Trong từng bài là các bài toán tương tự các bài tập trong sách giáo khoa, bài tập quen thuộc,
Sách - Toán 6 - Các Bài Toán Thực Tế Tác Giả: Nhiều tác giả Nhà Xuất Bản: Giáo Dục Việt Nam
Chinh Phục Đề Thi Vào Lớp 6 Trường THCS Chất Lượng Cao Môn Toán CÁC ƯU ĐIỂM CỦA CUỐN SÁCH: 1. Tổng ôn 30 đề then chốt môn Toán. Việc luyện tập nhuần nhuyễn giúp
Sách - Đề Kiểm Tra Toán 9 (Bám Sát SGK Kết Nối Tri Thức Với Cuộc Sống) - HA Quý Thầy, Cô cùng các em học sinh thân mến! Sau khi thực hiện Chương trình
Sách - HƯỚNG DẪN ÔN LUYỆN VÀO LỚP 6 MÔN TIẾNG VIỆT Theo chương trình mới (Dùng cho cả 3 bộ sách) Tác giả:Diêu Lan Phương (chủ biên) Trần Thu Hoa Phan Thùy Dương Lê Thu
Sách - Đề Kiểm Tra Toán 9 (Bám Sát SGK Kết Nối Tri Thức Với Cuộc Sống) - HA Quý Thầy, Cô cùng các em học sinh thân mến! Sau khi thực hiện
Nhâm mục đích giúp giáo viên và các em học sinh có thêm tài liệu luyện tập, củng cố, mở rộng và nâng cao kiến thức, chúng tôi biên soạn bộ sách Trọng tâm ngữ
Sách - Bộ Đề Kiểm Tra Toán 9 (Bám Sát SGK Chân Trời Sáng Tạo) - HA Quý Thầy, Cô cùng các em học sinh thân mến! Sau khi thực hiện chương trình giáo
Sách - Đề Kiểm Tra Toán 9 (Bám Sát SGK Kết Nối Tri Thức Với Cuộc Sống) - HA Quý Thầy, Cô cùng các em học sinh thân mến! Sau khi thực hiện Chương trình
Mô Tả Sản Phẩm Chương 1: Số hữu tỉ Chương 2: Số thực Chương 3: Góc và đường thẳng song song Chương 4: Tam giác bằng nhau Chương 5: Thu thập và biểu diễn dữ
100 Bài Làm Văn Hay Lớp 7 Với môn Tiếng Việt lớp 7, các em sẽ được bổ sung một lượng kiến thức phong phú, mới mẻ và hấp dẫn. Các em cũng sẽ được
Nội dung gồm có: Bài 6: Bài học cuộc sống Bài 7: Thế giới viễn tưởng Bài 8: Trải nghiệm để trưởng thành Bài 9: Hòa điệu với tự nhiên Bài 10: Trang sách
Củng cố và ôn luyện Tiếng anh lớp 7 - theo chương trình mới nhất của Global Success. Cuốn sách được chia thành các đơn vị bài học tương tự như sách giáo khoa để
MÔ TẢ SẢN PHẨM Nhà xuất bản: NXB Dân Trí Tác giả: Nhiều tác giả Loại bìa: Bìa Mềm Số trang: 180 Năm xuất bản: 2025 150 Bài Văn Hay 8 Văn hay
Sách - Bài giảng và lời giải chi tiết tiếng anh 9 (dùng kèm sgk kết nối - global success) - HA Đáp ứng yêu cầu đổi mới trong Chương trình giáo dục phổ thông
Nhà phát hành: Công ty TNHH Dịch vụ Giáo dục Việt Nam Tác giả: Diễn Lê Nhà xuất bản: NXB Đại Học Quốc Gia Hà Nội Năm xuất bản: 2023 Số trang: 200 trang
Củng Cố Và Ôn Luyện Toán 6 - Tập 2 Cuốn sách "Củng cố và ôn luyện Toán 6" là người bạn đồng hành tuyệt vời trong hành trình chinh phục môn Toán lớp 6
Quyển “Bài tập tiếng Anh 7 – Dùng kèm tiếng Anh 7” được biên soạn dựa trên sách Tiếng Anh 7 i-learn Smart World nằm trong bộ Sách giáo khoa Cánh Diều. Sách bao gồm
Cuốn sách Giải bài tập Toán lớp 7 được biên soạn theo sách giáo khoa Kết nối tri thức với cuộc sống nhằm giúp các em học sinh lớp 7 có thêm một tài liệu
Sách - Tuyển tập bộ đề môn toán luyện thi THPT cấu trúc đề thi năm 2025 - HA Công ty phát hành Nhà Sách Hồng Ân Năm Xuất Bản 2025 Bìa mềm Tác Giả
Bộ mô hình kỹ thuật lớp 4-5 dùng cho học sinh: Sản phẩm chất lượng cao, được sản xuất từ nhựa nguyên sinh cao cấp 100% Kiểu dáng , màu sắc đa dạng Tháo ,
Học Tốt Khoa Học Tự Nhiên 7 (Dùng Kèm SGK Cánh Diều) Quý thầy, cô, các bậc phụ huynh và các em học sinh thân mến! Sách giáo khoa Khoa học tự nhiên lớp 7 được
👁️ 41 | ⌚2025-09-30 18:30:04.605


Tác giả Adam Grant NXB: NXB Tổng Hợp TPHCM Năm XB 2021 Trọng lượng (gr) 300 Kích Thước Bao Bì 20.5 x 14.5 cm Số trang 304 Hình thức Bìa Mềm Giá Bìa: 128.000 Mô
"Dọn Dẹp" Công Việc, Gọn Gàng Tâm Trí Công ty phát hành: Alpha Books Nhà xuất bản: Nxb Thế Giới Tác giả: Nhiều tác giả Số trang: 320 Hình thức: Bìa mềm Kích thước: 16x24
How To Make Tea - Hiểu Hết Về Trà AI NÊN ĐỌC CUỐN SÁCH NÀY: - Những ai muốn biết cách pha một chén trà thơm ngon, "đúng vị" và có lợi cho sức
Bạn nghĩ một cuốn sách viết về cái chết sẽ chỉ toàn một màu u ám và rùng rợn? Vậy thì Ký Sự Pháp Y - Khi Tử Thi Kể Chuyện sẽ khiến bạn bất
Tác giả: Gary Chapman Ngày xuất bản: 2020 Kích thước: 13 x 19 cm Nhà xuất bản: NXB Tổng hợp Loại bìa: Bìa mềm Số trang: 240 Gía: 128.000VNĐ Mô tả sản phẩm: Tình yêu
Phono Sapiens - Loài Người Mới Sinh Ra Từ Điện Thoại Thông Minh
Tâm Lý Học Đám Đông Kể từ khi xuất bản lần đầu tại Việt Nam, cuốn sách này đã được tái bản lại rất nhiều lần. Tác giả Gustave Le Bon (1841 - 1931) là
Bạn có để ý rằng, khi chúng ta nhiều tuổi hơn thì càng dễ phát hiện những thứ khiến chúng ta ghét bỏ và càng khó tìm ra thứ mình thích. Chúng ta thường cảm
Tình Mẫu Tử Độc Hại - Khi Tình Yêu Của Mẹ Trở Thành Gánh Nặng Tâm Lý Cho Con Vẫn còn rất nhiều người mẹ tự cho m.ình cái quyền được áp đặt con cái
Sống Cả Nể, Đời Không Nể Trong cuộc sống muôn màu muôn vẻ, muôn hình vạn trạng của chúng ta, được xây dựng lên bởi mối quan hệ xã hội, giữa con người với con
"Nhắm Mắt Bắt Được Việc – Trong Thời Đại AI": Khi tìm việc không còn là cuộc chơi của may rủi, mà là hành trình hiểu chính mình Giữa năm 2025 - khi AI không
Daymond là một Shark nổi tiếng trong Shark Tank của Mỹ, nhà sáng lập thương hiệu thời trang đường phố FUBU. Trước khi có được thành công như hiện tại, ông đã từng trải qua
Daymond là một Shark nổi tiếng trong Shark Tank của Mỹ, nhà sáng lập thương hiệu thời trang đường phố FUBU. Trước khi có được thành công như hiện tại, ông đã từng trải qua
Sức Mạnh Tiềm Thức - Joseph Murphy Là một trong những quyển sách về nghệ thuật sống nhận được nhiều lời ngợi khen và bán chạy nhất mọi thời đại. Sức Mạnh Tiềm Thức đã
Động Lực Chèo Lái Hành Vi ------------ Động Lực Chèo Lái Hành Vi Hãy quyên đi những thứ mà bạn cho rằng mình hoàn toàn thấu hiểu về cách thức tạo động lực thúc
Thông tin sản phẩm Mã hàng 8935325017407 Tên Nhà Cung Cấp AZ Việt Nam Tác giả Tessa West Người Dịch Vũ Trung Phi Yến NXB Thế Giới Năm XB 2023 Ngôn Ngữ Tiếng Việt Trọng
Sống Không Cần Tiền (Tập 2): Bài Học Của Vua Midas Có tiền là có tất cả! câu nói đó gần như đã trở thành tuyên ngôn của thời đại chúng ta. Thế mà Mark
Sách- Bạn Thông Minh Hơn Bạn Nghĩ - You're Smarter Than You Think- Sách Tư Duy, Kỹ Năng Sống Những điều này có thể khiến bạn ngạc nhiên bởi trí thông minh có thể biểu
Cho Đời Nhẹ Lên Cao - Giải Mã Sáu Hormone Hạnh Phúc Cẩm nang mang tính cách mạng để tối ưu hóa bộ não của bạn và trở thành phiên bản tốt nhất của chính
Đến New Zealand Đón Bình Minh Mới Trong thời gian gần đây, New Zealand dần trở thành điểm đến du lịch, du học, định cư hấp dẫn bởi vô vàn yếu tố, từ môi trường