✨400 Bài Toán Cơ Bản Lớp 9 (Dùng Chung Cho Các Bộ SGK Hiện Hành) - HA













400 Bài Toán Cơ Bản Lớp 9 (Dùng Chung Cho Các Bộ SGK Hiện Hành) ĐẠI SỐ Chương I. CĂN BẬC HAI – CĂN BẬC BA I. Căn bậc hai II. Căn thức bậc hai và hằng đẳng thức VA2 = |A| III. Liên hệ giữa phép nhân (phép chia) và phép khai phương.. IV. Biến đổi đơn giản căn thức bậc hai. V. Thực hiện phép tính, rút gọn biểu thức chứa căn bậc hai. VI. Căn thức bậc ba Bài tập ôn chương I. Chương II. HÀM SỐ BẬC NHẤT
- Khái niệm hàm số II. Hàm số bậc nhất. III. Hệ số góc của đường thẳng y = ax + b (a ≠ 0). Bài tập ôn chương II... Chương III. HỆ PHƯƠNG TRÌNH BẬC NHẤT HAI ẨN I. Phương trình bậc nhất hai ẩn II. Hệ hai phương trình bậc nhất hai ẩn... III. Giải bài toán bằng cách lập hệ phương trình Bài tập ôn chương III Chương IV. HÀM SỐ y = ax2 (a ≠ 0) PHƯƠNG TRÌNH BẬC HAI MỘT ẨN I. Hàm số y = ax2 (a ≠ 0) II. Phương trình bậc hai một ẩn. III. Hệ thức Vi-ét và ứng dụng. IV. Phương trình quy về phương trình bậc hai V. Giải bài toán bằng cách lập phương trình bậc hai một ẩn Bài tập ôn chương IV HÌNH HỌC Chương I. HỆ THỨC LƯỢNG TRONG TAM GIÁC VUÔNG. Chương II. ĐƯỜNG TRÒN I. Định nghĩa đường tròn và tính chất đối xứng của đường tròn II. Vị trí tương đối của một điểm, một đường thẳng với đường tròn. Tiếp tuyến của đường tròn III. Vị trí tương đối của hai đường tròn. Chương III. GÓC VỚI ĐƯỜNG TRÒN I. Góc ở tâm và góc nội tiếp, cung chứa góc. II. Góc tạo bởi tia tiếp tuyến và cát tuyến. Góc có đỉnh ở bên trong và góc có đỉnh ở bên ngoài đường tròn.... III. Tứ giác nội tiếp. Đường tròn nội tiếp. Đường tròn ngoại tiếp IV. Độ dài đường tròn. Diện tích hình tròn. Chương IV. HÌNH TRỤ, HÌNH NÓN, HÌNH CẦU BÀI TẬP ÔN TẬP CUỐI NĂM Công ty phát hành: Nhà Sách Hồng Ân Năm Xuất Bản: 2025 Kích Thước: 17x24 cm Số Trang: 181 Nhà Xuất bản: Đại Học Sư Phạm Bìa: Mềm Tác Giả: TS. VŨ THẾ HỰU - NGUYỄN VĨNH CẬN




Bồi Dưỡng Học Sinh Giỏi Toán 9 (Luyện Thi Vào Lớp 10) Sách nhằm góp thêm vào tủ sách của bạn đọc một tài liệu bồi dưỡng học sinh giỏi lớp 9 và luyện thi
Các em học sinh lớp 7 yêu quýt Sau một năm lớp 6 học tập môn Ngữ văn, các em đã được tiếp xúc với các văn bản miêu tả, tự sự, biểu cảm, nghị
Sách - Tự tin luyện thi vào lớp 10 môn hóa học dành cho học sinh lớp 9 (dùng chung các bộ sgk hiện hành) Quý Thầy, Cô cùng các em học sinh thân
Sách - Bài tập phát triển năng lực Ngữ văn 8 tập 1 (Chân trời) THÔNG TIN CHI TIẾT Sách - Bài tập phát triển năng lực Ngữ văn 8 tập 1 (Chân trời)
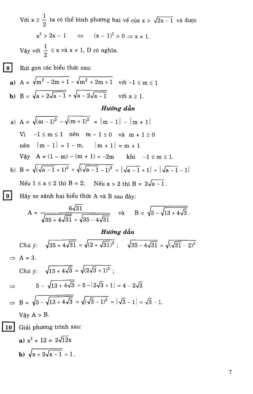
•Phần 1. Định hướng và phát triển tư duy giải bài tập toán khó. Trong từng bài là các bài toán tương tự các bài tập trong sách giáo khoa, bài tập quen thuộc,
Thông tin chi tiết: Công ty phát hành: Sách Nhân Dân Tác Giả : Nguyễn Hồng Quân Số trang : 185 Năm xuất bản : 2022 Khổ sách : 19x27cm Hình thức : bìa
Làm bài kiểm tra là một phần quan trọng trong quá trình học tập của học sinh. Bài kiểm tra không những giúp giáo viên đánh giá chất lượng học tập của học sinh mà
•Phần 1. Định hướng và phát triển tư duy giải bài tập toán khó. Trong từng bài là các bài toán tương tự các bài tập trong sách giáo khoa, bài tập quen thuộc,
Sách - Toán 6 - Các Bài Toán Thực Tế Tác Giả: Nhiều tác giả Nhà Xuất Bản: Giáo Dục Việt Nam
Chinh Phục Đề Thi Vào Lớp 6 Trường THCS Chất Lượng Cao Môn Toán CÁC ƯU ĐIỂM CỦA CUỐN SÁCH: 1. Tổng ôn 30 đề then chốt môn Toán. Việc luyện tập nhuần nhuyễn giúp
Sách - Đề Kiểm Tra Toán 9 (Bám Sát SGK Kết Nối Tri Thức Với Cuộc Sống) - HA Quý Thầy, Cô cùng các em học sinh thân mến! Sau khi thực hiện Chương trình
Sách - HƯỚNG DẪN ÔN LUYỆN VÀO LỚP 6 MÔN TIẾNG VIỆT Theo chương trình mới (Dùng cho cả 3 bộ sách) Tác giả:Diêu Lan Phương (chủ biên) Trần Thu Hoa Phan Thùy Dương Lê Thu
Sách - Đề Kiểm Tra Toán 9 (Bám Sát SGK Kết Nối Tri Thức Với Cuộc Sống) - HA Quý Thầy, Cô cùng các em học sinh thân mến! Sau khi thực hiện
Nhâm mục đích giúp giáo viên và các em học sinh có thêm tài liệu luyện tập, củng cố, mở rộng và nâng cao kiến thức, chúng tôi biên soạn bộ sách Trọng tâm ngữ
Sách - Bộ Đề Kiểm Tra Toán 9 (Bám Sát SGK Chân Trời Sáng Tạo) - HA Quý Thầy, Cô cùng các em học sinh thân mến! Sau khi thực hiện chương trình giáo
Sách - Đề Kiểm Tra Toán 9 (Bám Sát SGK Kết Nối Tri Thức Với Cuộc Sống) - HA Quý Thầy, Cô cùng các em học sinh thân mến! Sau khi thực hiện Chương trình
Mô Tả Sản Phẩm Chương 1: Số hữu tỉ Chương 2: Số thực Chương 3: Góc và đường thẳng song song Chương 4: Tam giác bằng nhau Chương 5: Thu thập và biểu diễn dữ
100 Bài Làm Văn Hay Lớp 7 Với môn Tiếng Việt lớp 7, các em sẽ được bổ sung một lượng kiến thức phong phú, mới mẻ và hấp dẫn. Các em cũng sẽ được
Nội dung gồm có: Bài 6: Bài học cuộc sống Bài 7: Thế giới viễn tưởng Bài 8: Trải nghiệm để trưởng thành Bài 9: Hòa điệu với tự nhiên Bài 10: Trang sách
Củng cố và ôn luyện Tiếng anh lớp 7 - theo chương trình mới nhất của Global Success. Cuốn sách được chia thành các đơn vị bài học tương tự như sách giáo khoa để
MÔ TẢ SẢN PHẨM Nhà xuất bản: NXB Dân Trí Tác giả: Nhiều tác giả Loại bìa: Bìa Mềm Số trang: 180 Năm xuất bản: 2025 150 Bài Văn Hay 8 Văn hay
Sách - Bài giảng và lời giải chi tiết tiếng anh 9 (dùng kèm sgk kết nối - global success) - HA Đáp ứng yêu cầu đổi mới trong Chương trình giáo dục phổ thông
Nhà phát hành: Công ty TNHH Dịch vụ Giáo dục Việt Nam Tác giả: Diễn Lê Nhà xuất bản: NXB Đại Học Quốc Gia Hà Nội Năm xuất bản: 2023 Số trang: 200 trang
Củng Cố Và Ôn Luyện Toán 6 - Tập 2 Cuốn sách "Củng cố và ôn luyện Toán 6" là người bạn đồng hành tuyệt vời trong hành trình chinh phục môn Toán lớp 6
Quyển “Bài tập tiếng Anh 7 – Dùng kèm tiếng Anh 7” được biên soạn dựa trên sách Tiếng Anh 7 i-learn Smart World nằm trong bộ Sách giáo khoa Cánh Diều. Sách bao gồm
Cuốn sách Giải bài tập Toán lớp 7 được biên soạn theo sách giáo khoa Kết nối tri thức với cuộc sống nhằm giúp các em học sinh lớp 7 có thêm một tài liệu
Sách - Tuyển tập bộ đề môn toán luyện thi THPT cấu trúc đề thi năm 2025 - HA Công ty phát hành Nhà Sách Hồng Ân Năm Xuất Bản 2025 Bìa mềm Tác Giả
Bộ mô hình kỹ thuật lớp 4-5 dùng cho học sinh: Sản phẩm chất lượng cao, được sản xuất từ nhựa nguyên sinh cao cấp 100% Kiểu dáng , màu sắc đa dạng Tháo ,
Học Tốt Khoa Học Tự Nhiên 7 (Dùng Kèm SGK Cánh Diều) Quý thầy, cô, các bậc phụ huynh và các em học sinh thân mến! Sách giáo khoa Khoa học tự nhiên lớp 7 được
Hướng Dẫn Học Ngữ Văn 8 - Tập 2 (Dùng Kèm SGK Chân Trời Sáng Tạo) Đồng hành cùng với chủ trương lớn của Đảng, Nhà nước về việc thay đổi sách giáo khoa,
Hướng Dẫn Học Ngữ Văn 8 - Tập 1 (Dùng Kèm SGK Chân Trời Sáng Tạo) Đồng hành cùng với chủ trương lớn của Đảng, Nhà nước về việc thay đổi sách giáo khoa, trong
Sách - Hướng Dẫn Nói Và Viết Văn Biểu Cảm - Tự Sự - Thuyết Minh Lớp 7 - HA Trong chương trình Giáo dục phổ thông tổng thể 2018, ở môn Ngữ văn lớp
Sách được bố cục theo từng đơn vị bài học, tương ứng với từng Unit trong sách giáo khoa Tiếng Anh 8. Mỗi đơn vị bài học gồm: Từ vựng (Vocabulary): tổng hợp tất cả

Tác giả : Kiều Bắc - Nguyễn Quốc Khánh - Nguyễn Thị Hoa - Nhà xuất bản : Đại Học Quốc Gia Hà Nội - Kích thước : 17 x 24 cm - Số trang
Để đáp ứng yêu cầu đổi mới cách đánh giá học sinh trong môn Ngữ văn cấp THCS - Chương trình GDPT 2018 (tránh dùng lại các văn bản đã học trong sách giáo khoa
Hướng Dẫn Học Và Làm Bài Ngữ Văn 7 - Tập 1 (Bám Sát SGK Kết Nối Tri Thức Với Cuộc Sống) Trong giai đoạn đầu thực hiện chủ trương đổi mới chương trình sách
Sách mới gộp thành 1 cuốn: Nhà xuất bản : NXB Đại học Quốc gia Hà Nội Tác giả : Nguyễn Đức Tấn, Nguyễn Đoàn Vũ, Nguyễn Bình Dương
Bài Tập Phát Triển Năng Lực Ngữ Văn 7 - Tập 1 (KN) Từ năm học 2021-2022, chương trình và sách giáo khoa Ngữ văn Trung học cơ sở mới được triển khai dạy và
Đề Thi Tuyển Sinh Vào Lớp 10 Môn Tiếng Anh (Có Đáp Án) Tác giả: Trịnh Thanh Thủy Công ty phát hành: Zenbooks Nhà xuất bản: Thế giới Năm xuất bản: 2025 Giới thiệu về sách Đề Thi Tuyển Sinh Vào Lớp 10 Môn Tiếng Anh Đề Thi Tuyển Sinh Vào Lớp 10 Môn Tiếng Anh (Có Đáp Án) là tài liệu ôn luyện lý tưởng cho học sinh lớp 9 trong giai đoạn nước rút trước kỳ thi vào lớp 10. Cuốn sách tổng hợp các đề thi bám sát cấu trúc chính thức, giúp học sinh làm quen với dạng đề, nâng cao kỹ năng và tự tin bước vào kỳ thi quan trọng này. Nội dung nổi bật của sách - 28 đề thi cập nhật: Bao gồm 10 đề theo cấu trúc TP.HCM, 10 đề theo cấu trúc Hà Nội, và 8 đề thi thực tế từ 2020–2024. - Kiểm tra toàn diện: Đánh giá 5 kỹ năng: Ngữ âm, Từ vựng – Ngữ pháp, Đọc hiểu, Viết lại câu, và Viết luận (tự luận và trắc nghiệm). - Đáp án chi tiết: Hỗ trợ tự học, kiểm tra và đánh giá năng lực bản thân. - Phân chia theo vùng miền: Đáp ứng đặc thù đề thi của Hà Nội và TP.HCM, sát với thực tế. Điểm khác biệt của sách - Cập nhật mới nhất 2025: Phản ánh chính xác cấu trúc và xu hướng đề thi hiện tại. - Thực tiễn cao: Đề thi thực tế từ 2020–2024 giúp học sinh làm quen với áp lực thi thật. - Dễ sử dụng: Phù hợp cho tự học hoặc học cùng giáo viên/gia sư, với đáp án rõ ràng. - Uy tín biên soạn: Được đội ngũ giáo viên giàu kinh nghiệm của Zenbooks xây dựng cẩn thận. Đối tượng phù hợp Cuốn sách dành cho: - Học sinh lớp 9 ôn thi vào lớp 10, muốn nâng cao kỹ năng tiếng Anh. - Phụ huynh hỗ trợ con em ôn luyện hiệu quả cho kỳ thi quan trọng. -
Sách - Hướng dẫn ôn thi tốt nghiệp THPT môn Tin học năm học 2024-2025 (Bộ GD&ĐT công bố ngày 18/10/2024) - NXB Giáo Dục (BÁM SÁT CẤU TRÚC VÀ NỘI DUNG ĐỀ THI MINH
Mục lục: Phần 1: Hóa đại cương Chủ đề 1: Nguyên tử Chủ đề 2: Bảng tuần hoàn các nguyên tố hóa học và định luật tuần hoàn Chủ đề 3: Liên kết hóa học
Combo Bài Tập Em Học Toán Lớp 7 (Dùng Chung Cho Các Bộ SGK Mới Hiện Hành) (Bộ 2 Cuốn) Bộ sách gồm có: Bài Tập Em Học Toán Lớp 7 - Tập
Nhằm đáp ứng nhu cầu tự luyện tập, củng cố kiến thức và nâng cao kĩ năng học toán, chúng tôi trân trọng giới thiệu cùng bạn đọc cuốn sách Rèn kĩ năng học tốt

Sách - bài tập nâng cao vật lí 9 bồi dưỡng học sinh giỏi (dùng chung cho các bộ sgk hiện hành) + ha Nhằm giúp học sinh nắm vững các kiến thức trọng
Cuốn sách bài tập này dùng kèm với cuốn Em học Toán 9 (do đó trong sách có dùng kí hiệu SGK khi nói về cuốn sách trên), nhằm giúp các em có thêm bài
SÁCH - Tư liệu dạy - học địa lí 9 (dùng chung cho các bộ sgk hiện hành) Tư Liệu Dạy - Học Địa Lí 9 (Dùng Chung Cho Các Bộ SGK Hiện Hành) Sách TƯ
Cuốn sách bài tập này dùng kèm với cuốn Em học Toán 9 (do đó trong sách có dùng kí hiệu SGK khi nói về cuốn sách trên), nhằm giúp các em có thêm bài
CAM KẾT VÀ BẢO HÀNH - Đảm bảo và cam kết sản phẩm đúng với mô tả và hình ảnh của shop. - Đổi trả sản phẩm miễn phí trong vòng 7 ngày nếu sản
Sách - Hướng dẫn giải bài tập toán 9 (bám sát sgk kết nối tri thức với cuộc sống) - HA Cuốn sách Sách - Hướng dẫn giải bài tập toán 9 (bám sát sgk
Sách - Bồi Dưỡng Học Sinh Giỏi Lịch Sử 8 (Theo chương trình GDPT mới) - ndbooks Chương trình Lịch sử lớp 8 ở trường THCS có nhiều nội dung phong phú, vừa gắn với
Cuốn sách bài tập này dùng kèm với cuốn Em học Toán 9 (do đó trong sách có dùng kí hiệu SGK khi nói về cuốn sách trên), nhằm giúp các em có thêm bài
Cuốn sách " 500 bài tập cơ bản và nâng cao Toán 9" nhằm giúp các em học sinh khá, giỏi lớp 9 có một tài liệu Toán nâng cao giúp đánh giá năng lực,
Công ty phát hành: NXB Giáo Dục Việt Nam Nhà xuất bản: NXB Giáo dục Việt Nam Tác giả: Nhiều tác giả Số trang: 87 Năm xuất bản: 2025 Khổ sách: 19x26.5 cm Hình thức:
Hướng Dẫn Học Ngữ Văn 7- Tập 2 (Bám Sát SGK Chân trời sáng tạo ) Với mong ước giảm bớt gánh nặng cho quý thầy cô và giúp các em khám phá vẻ kì
Sách - Giúp em giỏi toán 9/2 (bám sát sgk kết nối tri thức với cuộc sống) - HA Cuốn sách Giúp em giỏi Toán 9 – Tập hai được biên soạn bám sát
CAM KẾT VÀ BẢO HÀNH - Đảm bảo và cam kết sản phẩm đúng với mô tả và hình ảnh của shop. - Đổi trả sản phẩm miễn phí trong vòng 7 ngày nếu sản
Sách - Notebook sổ tay ngữ pháp tiếng anh tiểu học và trung học cơ sở - HA Cuốn " Notebook sổ tay ngữ pháp tiếng anh (tiểu học và trung học cơ sở) hệ
Ưu điểm của cuốn sách này: 1. Chọn lọc thông tin: Cuốn sách được chắt lọc và tóm tắt ngắn gọn từ 48 chương trọng tâm, giúp học sinh dễ dàng tiếp cận và hiểu được
Tổng Hợp Các Bài Toán Phổ Dụng Đại Số 9 là một cuốn sách hay do TS. VŨ THẾ HỰU - NGUYỄN VĨNH CẬN biên soạn nhằm giúp các em học sinh tự học ở
Phát Triển Kĩ Năng Đọc - Hiểu Và Viết Văn Bản Theo Thể Loại Môn Ngữ Văn 8 (Bám Sát SGK Chân Trời Sáng Tạo) Với mong muốn giúp các em học sinh có
👁️ 54 | ⌚2025-10-01 00:00:04.417


Sống Đời Bình An Sau sự thành công và được bạn đọc đón nhận, ủng hộ của tác phẩm Thả trôi phiền muộn, tác phẩm thứ hai của tác giả - Sư cô Suối Thông sẽ
Kẻ Ngây Thơ, Người Từng Trải Và Câu Chuyện Tình Của Chúng Tôi - Tập 2 Ryuto, một nam sinh trung học hướng nội đã bắt đầu hẹn hò với Runa - cô gái xinh
Quà tặng kèm: Bookmark Thể loại: Truyện tranh Ngày phát hành dự kiến: 17/07/2025 ---------- Giới thiệu sách: Đôi khi, chúng ta không cần một người giúp mình giải quyết mọi rắc rối mà chỉ
Cuốn sách Truyện truyền kỳ Việt Nam chọn lọc 50 câu truyện là các thần tích, thần phả và truyện cổ tích mang yếu tố truyền kỳ đậm nét, được trích từ cuốn sách Kho
Triết Học Ơi, Mở Ra! (Tập 2) - Tôi Tư Duy Như Thế Nào? Tôi Có Thể Làm Gì? Tôi Phải Đi Về Đâu? Tên Nhà Cung Cấp Alpha Books Tác giả Nhiều tác giả
Thuật Đàm Phán Đàm phán là một yếu tố thiết yếu trong mọi tương tác mang tính cá nhân cũng như chuyên nghiệp. Nó giúp chung ta thiết lập các mối quan hệ, hợp tác
Rèn Thói Quen Tư Duy Phản Biện Cuốn sách tập trung vào việc phát triển thói quen tư duy phản biện trong mọi khía cạnh của cuộc sống. Cuốn sách cung cấp những nội dung
TÓM TẮT SÁCH Ngay cả những người thông minh nhất trên thế giới cũng dễ bị thiên vị vô thức. Không phải là hầu hết mọi người đều ngu ngốc; họ chỉ không biết cách
Mô tả sản phẩm Ai mới chính xác là người đã cứu hai tỷ người? Có phải là một người cụ thể nào đó mà chúng ta có thể chỉ đích danh? Chúng ta có
Tác giả: Lê Giang Khổ sách: 14x20cm Số trang: 240 Trọng lượng: 200g Giá bán: 110,000 VNĐ ISBN: 978-6-1-26395-6 | Barcode: 89349742481 In lần thứ 1 năm 2025 Nhà xuất bản Trẻ Giới thiệu tóm
Phương cách sắp xếp những hoạt động, công việc, tổ chức cuộc sống gia đình/cá nhân một cách hiệu quả, ngăn nắp, có trật tự và có kế hoạch, nhằm thỏa mãn hài hòa nhu
Mô tả: Thói Quen Của Kẻ Thắng (Tái Bản 2018) Có một câu chuyện về bức tượng David như thế này: Chuyện kể rằng có một khối đá cẩm thạch lớn đã nằm trên một
Công ty phát hành: Alphabooks Tác giả: Nhiều tác giả Nhà xuất bản: NXB Thế Giới Năm xuất bản: 2022 KÍch thước: 13 x 18 cm Quy cách: Bìa mềm Số trang 252 Einstein Bỏ
Chương 1: Những quy định chung Chương 2: Thành lập doanh nghiệp Chương 3: Công ty trách nhiệm hữu hạn Chương 4: Doanh nghiệp nhà nước Chương 5: Công ty cổ phần Chương 6: Công
Khám Phá Thế Giới Động Vật Kì Thú: Thế Giới Của Những Loài Động Vật Sát Thủ (Tái Bản 2021)
Khám Phá Thế Giới Động Vật Kì Thú - Thế Giới Của Những Loài Động Vật Sát Thủ Nhà xuất bản : Nhà Xuất Bản Phụ Nữ. Công ty phát hành : NXB Phụ Nữ.
Cuốn sách "Để Không Bị Bỏ Lại Phía Sau: Cơ Hội Và Năng Lực Hòa Nhập Xã Hội Của Phụ Nữ Dân Tộc Thiểu Số (Nghiên cứu ở Tây Bắc)" là một nghiên cứu chuyên
Tác giả: 1980Edu Người dịch: THÔNG TIN XUẤT BẢN: Kích thước khổ: 19 x 26,5 Số trang: 72 Giá bìa: 69,000 Mã EAN: 893 NXB liên kết: NXB Dân trí Sách do Công ty TNHH
Chương I : Con Đường Gây Dựng Sự Nghiệp Vô Cùng Gian Nan - Sau Cơn Mưa Bão Sẽ Là Cầu Vồng Rực Rỡ Chương II: Làm Tổng giám đốc cần phải có dã tâm
LỜI GIỚI THIỆU Câu Chuyện Về Loài Chó Mã hàng: 8935210289773 Tên Nhà Cung Cấp: Tân Việt Tác giả: Penelope Rich, Isabel Muñoz Người Dịch: Nghi Phương NXB: NXB Mỹ Thuật Năm XB: 2021 Trọng