✨Sách - Ôn Luyện Môn Toán Thi Vào Lớp 10 - Dùng Chung Cho Các Bộ SGK Hiện Hành - Hồng Ân









Sách - Ôn Luyện Môn Toán Thi Vào Lớp 10 - Dùng Chung Cho Các Bộ SGK Hiện Hành Để góp thêm tư liệu tốt nhất trong quá trình chuẩn bị thi vào lớp 10 năm học sắp tới của các em, nhóm tác giả tổ chức biên soạn quyển sách: ÔN LUYỆN MÔN TOÁN THI VÀO LỚP 10 Các tác giả là những giáo viên có nhiều kinh nghiệm trong giảng dạy và ôn luyện thi vào lớp 10 ở các địa phương: TP. Hồ Chí Minh, Bình Dương, Khánh Hoà, Phú Yên, Bình Định... Quyển sách gồm hai phần: • Phần 1: A. Các đề toán thi vào lớp 10 năm học 2020 – 2021 (Hệ đại trà) B. Các bài viết chọn lọc • Phần 2: A. Các đề toán thi vào lớp 10 hệ chuyên Toán năm học 2020 – 2021 B. Các bài viết chọn lọc Chúng tôi mong rằng quyển sách sẽ là một tài liệu thiết thực và bổ ích giúp các em học sinh lớp 9 tự ôn luyện, củng cố kiến thức và tự đánh giá năng lực toán của bản thân để từ đó mạnh dạn tham gia các kì thi và đạt kết quả cao. Mặc dù các tác giả rất cố gắng trong quá trình biên soạn, song quyển sách chắc chắn không tránh khỏi những thiếu sót nhất định. Rất mong nhận được những ý kiến đóng góp chân thành từ quý bạn đọc gần xa, để quyển sách được hoàn thiện hơn trong lần tái bản sau.
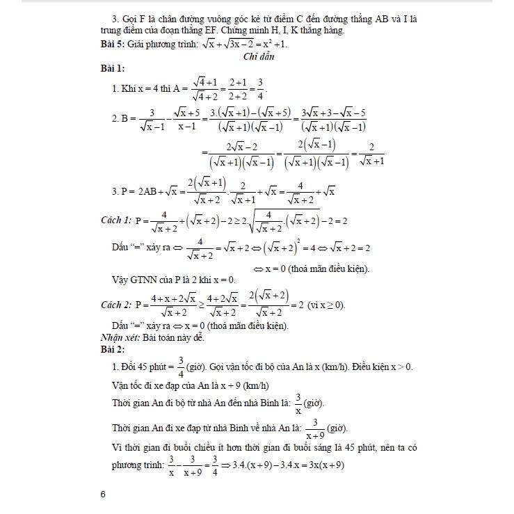
Nhà Phát Hành: Nhà Sách Hồng Ân Nhà Xuất Bản: NXB Đại Học Quốc Gia Hà Nội Tác Giả: Nhiều Tác Giả Hình Thức: Bìa Mềm Số Trang: 320 Kích Thước: 16 x 22 cm Ngày Xuất Bản: 2024




Bồi Dưỡng Học Sinh Giỏi Sinh Học 8 (Dùng Chung Cho Các Bộ SGK Hiện Hành) Cuốn sách là công cụ hỗ trợ cần thiết cho tất cả các bạn học sinh có niềm đam
Làm cách nào bạn khiến cho một Người Ủng hộ thay bóng đèn? Giải đáp: Anh ta đã thay nó rồi. Làm cách nào bạn khiến cho một Người Nghi vấn thay bóng đèn? Giải đáp: Nhưng mà tại sao
Thành Công Theo Cách Khác "Mỗi câu chuyện là một hành trình, như leo núi, vô vùng gian nan song đầy cảm hứng của các doanh nhân xã hội. Bạn đọc không chỉ biết về
Văn Hóa Email: Xây Dựng Hình Ảnh Cá Nhân Qua Email (Năm 2020 ) E-mail là một con dao hai lưỡi. Nó có thể mang lại nhiều lợi ích và hiệu quả kinh doanh cho
*** Lưu ý: Hiện nay sách này có hai phiên bản bìa tùy thuộc vào các lần xuất bản, do đó bìa sẽ được giao ngẫu nhiên. Chúng ta đàm phán hằng ngày. Chúng ta
Con đường đi qua khó khăn hay thương tổn trầm trọng là con đường gian khổ nhất mà một người có thể gặp phải. Nhưng hãy luôn nhớ: cách duy nhất để thoát khỏi con
Sách - Hạnh Phúc Tại Tâm Công ty phát hành Công ty TNHH văn hóa sáng tạo Trí Việt Tác giả Osho Ngày xuất bản 2019 Số trang: 300 Nhà xuất bản NXB Tổng Hợp
Sa di nam, tiếng Phạn là Sramanera, và Sa di nữ là Sramanerika. Sa di thường được dịch là tức từ. Tức là chấm dứt, quyết tâm chấm dứt nếp sống hệ lụy và khổ
Con đường đi qua khó khăn hay thương tổn trầm trọng là con đường gian khổ nhất mà một người có thể gặp phải. Nhưng hãy luôn nhớ: cách duy nhất để thoát khỏi con
Sống Theo Sở Thích Để Sống Lâu Mới đọc lời giới thiệu bản tiếng Pháp, tôi nghĩ bụng: “Anh chàng này lập dị chăng? Là “lang băm chăng?” Bác sĩ gì mà viết sách khuyên
DEBATE PRO JUNIOR1 – NHÀ TRANH BIỆN THÔNG MINH Debate Pro Junior1 – Nhà tranh biện thông minh là cuốn sách đầu tiên trong bộ sách 4 cuốn dành cho các em học sinh bắt
Thuật Thôi Miên Trong Giao Tiếp ------------ Thôi miên không chỉ là một màn ảo thuật để xem cho vui trên sân khấu, nó còn là một hiện tượng có thực và phổ biến trong
Tác Phẩm: Cốt Nhục Của Thiền *** (Sách Chính Hãng) Nhà Xuất Bản: Thanh Niên Công Ty Phát Hành: Huy Hoàng Books Tác giả (Dịch giả): Paul Reps & Nyogen Senzaki (Lê Viết Hổ) ------------ GIỚI
Phát Triển Tư Duy Sáng Tạo Giải Toán 6 - Tập 1 (Biên Soạn Theo Chương Trình Mới) Mỗi chuyên đề có ba phần: A. Kiến thức cần nhớ: Phần này tóm tắt những
Cuốn sách nhỏ các bạn đang cầm trên tay là những ghi chép của một vài người trẻ về những người xung quanh họ. Ngày ấy, chúng mình vừa mới tốt nghiệp đại học chưa
Hầu hết chúng ta đều coi niềm vui là điều quý giá mà ai cũng cần tạo ra hoặc tìm kiếm. Chúng ta thường cho rằng chỉ có một số người đặc biệt, hoặc một
Chúng ta đang thực sự quay cuồng trong công việc và không có thời gian để tận hưởng cuộc sống thực sự, do chúng ta chưa biết sắp xếp thời gian cho hợp lý. Mặc
Sách - The one thing - Điều ý nghĩa nhất trong từng khoảnh khắc cuộc đời. Mã hàng 8935251409758 Tên Nhà Cung Cấp Alpha Books Tác giả Jay Papasan, Gary Keller Người Dịch Tuấn Trương
Tôi Đúng Anh Sai ------------ Tôi Đúng Anh Sai Cuốn sách chia làm bốn phần,mỗi phần lại chia nhỏ thành các mục con, thể hiện các quan điểm của tác giả về những hình
Cuộc đời lắm vấn đề, là bởi vì còn lề mề chưa giải quyết. Muốn giải quyết lại không phải ngày một ngày hai, không phải cứ xông pha là xong hết. Ở đời quan
Cuộc sống của bạn đang gặp vấn đề hay bạn đang muốn thay đổi điều gì đó liên quan đến bản thân? Vậy thì bạn không đơn độc. Hầu như tất cả chúng ta đều
Phương Thức Amazon – 10 Nguyên Lý Internet Vạn Vật Michael Porter, Giáo sư Trường kinh doanh Harvard đã mô tả IoT như xương sống của làn sóng thứ ba về đổi mới công nghệ
Mỗi lần chập chờn nghĩ về những ước mơ tuổi trẻ, tôi dường như có thể bay lên một bầu trời, ngồi giữa mây gió, nhìn lại quá khứ thanh sạch và luẩn quẩn. Tôi
Đọc vị tính cách là một cuốn sách giúp bạn dễ dàng tìm hiểu, phân loại tính cách không chỉ cho chính mình mà còn cả cho người khác, áp dụng được cả cho chuyên
Con người ai cũng không ngừng nỗ lực để đạt được hạnh phúc rồi lại làm mất chúng, dường như ai cũng từng có hạnh phúc nhưng lại làm mất đi, dường như nó chỉ
Mô tả: Hẳn bạn sẽ ngạc nhiên với tiêu đề này? Học cách tiêu tiền, bạn từng nghe lần nào chưa? Mọi người vẫn cho rằng tiêu tiền là một việc hết sức tự nhiên
This is Tết! ------------ We wish for my grandparents’ health, also for my parents’ wealth. Then their wish for me at last: That only joy will fill my heart! The idea of This is
Cuốn sách tập hợp những bài viết về các tình huống do cha mẹ, ông bà, thầy cô giáo, những người giám hộ, trông giữ trẻ vì một chút sơ ý, bất cẩn, tắc trách
GIỚI THIỆU CUỐN SÁCH NẾU CHÚNG TA KHÔNG CHÁY LÊN Của nhà văn Ma Văn Kháng Hơn 60 năm viết văn, độc giả lâu nay biết tới nhà văn Ma Văn Kháng là tác
Sách Tư duy Kĩ Năng Sống Đẹp: Không Nỗ Lực Đừng Tham Vọng Chúng ta có thể để cuộc đời mài mòn các góc cạnh, nhưng không được biến thành "hình dáng" mà bản
Cuốn sách cung cấp các kỹ năng, bài thực hành vào buổi sáng cho các doanh nhân, giúp họ thay đổi tư duy, phát triển cá nhân và nâng tầm doanh nghiệp, đồng thời giúp
Sách Kỹ Năng Sống: Đừng Bán Khi Chưa Được Giá (Sách Dành Cho Nhà Lãnh Đạo Thông Minh / Chiêu Thức Tạo Ra Một Công Ty Có Thể Phát Triển Mà Không Cần Tới Bạn)
Phương Pháp Học Tập Siêu Tốc Đã bao giờ bạn cảm thấy chán nản vì việc học hành quá vất vả và cực nhọc chưa? Phương pháp học tập siêu tốc sẽ là một cứu
6 Chiếc Mũ Tư Duy Lối suy nghĩ truyền thống của người phương Tây (và của con người nói chung) thuờng không khuyến khích họ có những suy nghĩ mang tính xây dựng. Và Phương

Rời khỏi ghế nhà trường, bắt đầu đặt chân vào chốn công sở, mọi thứ sẽ trở nên thực sự khó khăn nếu bạn không thể giao tiếp với đồng nghiệp hay hòa nhập với
Chú Thuật Hồi Chiến - Tập 26 - Về Phương Nam Cuộc chiến vô tiền khoáng hậu giữa người mạnh nhất lịch sử và người mạnh nhất đương thời…!! Cùng lúc triển khai lãnh địa,
Tư Duy Lởm Khởm - Phương Pháp Thần Tốc Đạt Đến Sự Sáng Suốt ------------ Tranh biện luôn là một chủ đề nhạy cảm mà những người tham gia vào nó, dù vô tình
Một ngày, chúng ta có khoảng 16 tiếng tiếp xúc với con người, công việc, các nguồn thông tin từ mạng xã hội, loa đài báo giấy… Việc này mang đến cho bạn vô vàn
Cuốn sách bao gồm các bài luận của tác giả Humphrey B. Neill về Lý thuyết quan điểm ngược dòng do ông khởi xướng. Bằng những phân tích sắc sảo và dễ hiểu về các
Trưởng thành lấy đi điều gì là cuốn sách thứ 8 của Gari – một cô gái trẻ mới 22 tuổi đã xuất bản 7 cuốn sách từ năm 2014 đến năm 2018 với hơn
Sách hướng dẫn lập trình cho các bạn mới học cách dùng ngôn ngữ máy tính Python. Chỉ dẫn từng bước để bạn biết cách lập trình, tạo trò chơi, vẽ và làm đủ trò
ĐIỀU GÌ ĐANG CẢN TRỞ BẠN? Nếu bạn là một người hướng nội thì bạn đang thuộc về một cộng đồng thiểu số nhưng lại có vai trò đặc biệt quan trọng. Tuy nhiên, trong
Làm Chủ Giọng Nói Trong Đầu. GIỚI THIỆU SÁCH: Trong vai trò một nhà đào tạo, giảng viên, huấn luyện viên và chủ doanh nghiệp, Blair Singer đã có dịp làm việc với hàng trăm nghìn
100 KỸ NĂNG SINH TỒN - BẢN ĐẶC BIỆT – CUỐN CẨM NANG HƯỚNG DẪN VỀ CÁCH SỐNG SÓT Ở NƠI HOANG DÃ VÀ CHUẨN BỊ CHO MỌI THẢM HỌA Bản đặc biệt này bạn
Combo Sự Kỳ Diệu Của Cơ Thể (Bộ 2 Cuốn) Bố mẹ có bao giờ thắc mắc về giấc ngủ của mình không? Rằng tại sao mình phải ngủ? Ngủ nó mang lại những lợi
English Zoo - Sinh Nhật Của Tớ - It’s My Birthday Ngày nay tiếng Anh đã trở thành ngôn ngữ toàn cầu. Việc dạy tiếng Anh cho trẻ ngay từ giai đoạn mầm non
Dành cho trẻ em từ 6 tuổi trở lên Với hơn 70 trò chơi, câu đố và thử thách vui nhộn, GREEN CHALLENGES - Cuốn sách khổng lồ về các hoạt động khám phá môi
Bạn có thích robot không? Bạn có yêu khoa học không? Bạn có ấp ủ ước mơ lớn lên sẽ trở thành một chuyên gia sáng chế robot, chinh phục những công nghệ tân tiến
Cách bạn thức dậy mỗi sáng và những thói quen buổi sáng của bạn (hoặc thiếu điều ấy) sẽ ảnh hưởng sâu sắc đến những cấp độ thành công của bạn trong từng phạm trù
30 danh ngôn sống đẹp qua chiêm nghiệm trong đời thường đề cao lòng tử tế, sức mạnh của lòng tử tế: có thể chữa lành những nỗi đau trong cuộc sống, có thể hóa
Nóng Giận Là Bản Năng, Tĩnh Lặng Là Bản Lĩnh Nóng Giận Là Bản Năng, Tĩnh Lặng Là Bản Lĩnh thiên về . Chúng ta luôn có những sai lầm và sai lầm lớn nhất của
The One Thing - Điều Ý Nghĩa Nhất Công Ty Phát Hành: Alpha Books (*** Sách Bản Quyền ***) ------------ GIỚI THIỆU TÁC PHẨM The One Thing - Điều Ý Nghĩa Nhất Bạn muốn ít sự
Buổi Sáng Diệu Kỳ (Tái Bản 2018) Cách bạn thức dậy mỗi sáng và những thói quen buổi sáng của bạn (hoặc thiếu điều ấy) sẽ ảnh hưởng sâu sắc đến những cấp độ thành
Sổ Tay Thực Hành 12 Tuần Khơi Nguồn Sáng Tạo Cuốn sách này được viết bởi Julia Cameron, một nghệ sĩ có hơn 30 năm hoạt động trong nghề. Khóa học Đánh thức bản ngã
The One Thing - Điều Ý Nghĩa Nhất Trong Từng Khoảnh Khắc Cuộc Đời (Tái Bản 2018) Bạn muốn ít sự sao nhãng. Bạn muốn ít sự lựa chọn. Hàng ngày, bạn phải trả lời
Tiếng gọi của hoang dã là câu chuyện cuộc đời phiêu lưu mạo hiểm của chú chó Buck. Buck bị bắt cóc từ trang trại của người chủ giàu có và trở thành chó kéo xe
Dám Dẫn Đầu (Tái Bản 2020) ------------ DÁM DẪN ĐẦU là quyển sách tập hợp những câu chuyện về khả năng, kinh nghiệm và bí quyết lãnh đạo của 50 giám đốc điều hành
Hầu hết mọi người đều thích toán, tiếc là họ không biết điều này! Bởi ai mà chẳng thấy hấp dẫn với những mẩu chuyện kỳ thú về toán: như “giáo phái” toán học
Sách: Biến Thay Đổi Thành Lợi Ích Lẽ ra Forrest Gump nên nói: “Thay đổi luôn xảy ra.” Những ai có thể đương đầu với thay đổi sẽ tồn tại. Những ai có thể đón
👁️ 56 | ⌚2025-09-27 18:00:01.578


Kinh Pháp Cú - Trí Tuệ Khai Sáng - 365 Ngày Sống Theo Lời Phật Dạy Kinh Pháp Cú là một trong những bộ kinh quan trọng và cô đọng nhất của Phật giáo
Khám Phá Rừng Già - Động Vật Hoang Dã Trong Khám Phá Rừng Già Động Vật Hoang Dã, bạn đọc sẽ gặp lại cách lý giải tự nhiên bằng ngôn ngữ trẻ thơ đặc trưng
Thưởng Ngoạn Hội Họa - Thần Thoại Trong 20 Kiệt Tác Nghệ Thuật Những câu chuyện thần thoại là nguồn cảm hứng bất tận để nhiều nghệ sĩ sáng tạo nên các tác phẩm nghệ
Những Kì Quan Thời Tiết - Từ Điển Bỏ Túi Về Các Hiện Tượng Thiên Nhiên Kì Thú - Tập 1 Mỗi khi ngước nhìn bầu trời, hẳn mỗi người trong chúng ta đều một
Không phải lúc nào cuộc sống cũng chia cho chúng ta những lá bài đẹp. Ai rồi cũng sẽ trải qua những thời điểm bế tắc, những giai đoạn khắc nghiệt nhất đời mình: chia
Cuốn sách gồm 52 thí nghiệm về Vật Lý, Hóa học và Sinh học. Trẻ sẽ được tìm hiểu những hiện tượng hết sức quen thuộc của cuộc sống như hiệu ứng nhà kính, chuyển
Giới thiệu sách công ty phát hành : - Tác giả : Stephen Hawking - Dịch Giả : Nguyễn Tiến Dũng, Vũ Hồng Nam - Kích thước : 14 x 20cm - Loại bìa :
“Ở Trung Hoa, cuốn Liệt tử được tôn xưng là một cuốn kinh: Xung hư chân kinh, từ năm 742 (năm thứ nhất niên hiệu Thiên Bảo vua Đường Huyền Tôn), rồi tới đầu thế kỉ
52 Thí Nghiệm Vũ Trụ Siêu Thú Vị Kích Thích Trí Sáng Tạo Cuốn sách gồm 52 thí nghiệm giúp trẻ khám phá từ bầu trời đêm huyền bí, đến dải ngân hà xinh đẹp
Khoa Học Khám Phá - Vũ Trụ Trong Vỏ Hạt Dẻ (Tái Bản 2022) Stephen Hawking, một trong những nhà khoa học có ảnh hưởng nhất trong thời đại chúng ta, là một biểu tượng
I.Giới thiệu sách 60 năm văn học đương đại Trung Quốc là công trình nghiên cứu văn học công phu của 3 tác giả Trình Quang Vỹ, Mạnh Phồn Hoa, Trần Hiểu Minh, những giáo
49 Tình Huống Học Nói Tiếng Hoa Cấp Tốc Nội dung đơn giản, ngôn từ diễn đạt dễ hiểu, thực tế với những câu giao tiếp hàng ngày. Phần phiên âm bao gồm cả phiên
English Song Book 1997 (Tập 1) MÓN QUÀ TINH THẦN NGƯỢC DÒNG THỜI GIAN: Bất cứ ai yêu thích nhạc tiếng Anh ở thập niên 90 thế kỷ trước không ai là không ghi nhớ
Thế Giới Lớn Trong Bàn Tay Nhỏ - Mẹ Ơi, Sáng Nay Mình Ăn Gì? Bạn có biết trẻ em ở các nước trên thế giới ăn món gì trong bữa sáng không? Bạn có
Bồi Dưỡng Học Sinh Giỏi Hóa Học 8 Theo Chuyên Đề (Dùng Chung Cho Các Bộ SGK Hiện Hành) Cuốn sách Các Chuyên Đề Bồi Dưỡng Học Sinh Giỏi Hóa Học 8 được biên soạn
Bồi Dưỡng Học Sinh Giỏi Sinh Học 8 (Dùng Chung Cho Các Bộ SGK Hiện Hành) Cuốn sách là công cụ hỗ trợ cần thiết cho tất cả các bạn học sinh có niềm đam
Làm cách nào bạn khiến cho một Người Ủng hộ thay bóng đèn? Giải đáp: Anh ta đã thay nó rồi. Làm cách nào bạn khiến cho một Người Nghi vấn thay bóng đèn? Giải đáp: Nhưng mà tại sao
Chúng ta đang sống trong thời đại khó khăn, khổ sở trước những tình cảnh trong xã hội, công việc và gia đình. Thay vì bắt tay vào hành động, chúng ta cứ than phiền
Kích Hoạt Trí Não - Mở Rộng Bộ Nhớ
Trong dòng chảy hối hả của cuộc sống, chúng ta thường dễ bỏ lỡ nhiều cơ hội và trải nghiệm quý giá chỉ bởi vì những nỗi sợ mang tên Bị Từ Chối, Không Đủ